唐楷$程志宏楷书不错,连续两次获“兰亭七子”,还摘得12届国展大奖
他用实力证实了唐楷大有可为,网友都这样评价他!
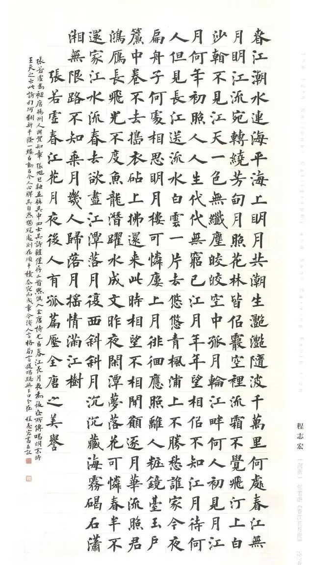
提到他,网友们都竖起来大拇指,他的楷书真精致,将唐楷的用笔之道,发挥到了极致状态,而且得以巧妙的应用,凭借楷书斩获了不少国展大奖,诸如12届国展,还凭借楷书两度斩获“兰亭七子”称号,他的楷书是当今书坛里的一股“清流”,整体上观察既有颜体楷书的浑厚大气,又有欧楷的险绝,同时还取法欧阳通的笔意,融合了个人见解,写出了一番崭新的气象,他就是程志宏,现为中国书法家协会会员、山西省书法家协会理事、中国书协考级中心高级注册教师、河南省书法家协会楷书专业委员会委员,下面就让我们一同欣赏一番他的楷书吧。

文章插图

文章插图
从程志宏的楷书上看,整体上透着一股正大气象,同时还有一种庙堂之高气,从这一点上看,他将唐楷的笔法之妙,发挥到了一种极致的状态,在楷书上不仅体现出一种个性,而且还体现出一种共性,是一位实力派大家,同时也是以国展的“老手”,多次斩获国展大奖,成为当今书坛里的中坚力量。

文章插图
从他的楷书上看,取法多元化,而且以唐楷为宗,以颜真卿、欧阳询、欧阳通为主要对象,无论是点画安排上,还是相互关系处理上,都下了一番功夫,而且还非常有见解,一笔一划,一丝不苟,每一笔,每一划都透着静下心、精细,尤其是有撇捺之笔的字上,更是见功夫,撇笔以短小促为格调,显得十分收敛,而捺笔又相对比较长硬疾,显得十分舒展,形成了一种很明显的对比,视觉冲击力非常之强,在字形上以方正扁平为主要格调,融入更多的个性,十分耐看,难怪能够在国展中赢得评委们的“芳心”,也是实力所致。

文章插图
【 唐楷$程志宏楷书不错,连续两次获“兰亭七子”,还摘得12届国展大奖】他的楷书正如网友们所说,用实力证实了唐楷大有可为,也再一次证明了正书的地位是坚不可摧的,也是非常牢固的,对于程志宏的楷书,谈谈你的见解。
?
- 楷书$「每日一字」 捧(2699)2022.01.18
- 校名!毛主席的两幅楷书作品,差别很大,一幅为学校题名,一幅题寿词
- 王志安&他的楷书很轻盈,以褚楷为基,兼收行意,洒脱清丽,严谨中蕴灵动
- |田英章楷书虎年春联15副(带横批)
- 卢中南@这样的楷书你会给赞吗?戴卫华的楷书有高古精逸之气,书风尚雅
- 浯溪$颜真卿极其壮观的楷书,刻在湖南一崖壁,书法气势恢宏
- 盐城市#他的楷书碑骨帖韵,行笔入楷,自成一体,清新脱俗,网友:服气!
- 春联#「书画欣赏」 田英章楷书集字虎年春联15副(带横批)
- 书法#他是一位将颜楷写到极致的书法家,其楷书含蓄蕴藉,端庄雄健
- 欧阳询&虞世南楷书《演连珠》笔致圆润,筋骨内含,温润平和
