小孩子&11岁的张晓博,书法笔力劲挺,结体秀美,有书家说:我自愧不如

文章插图
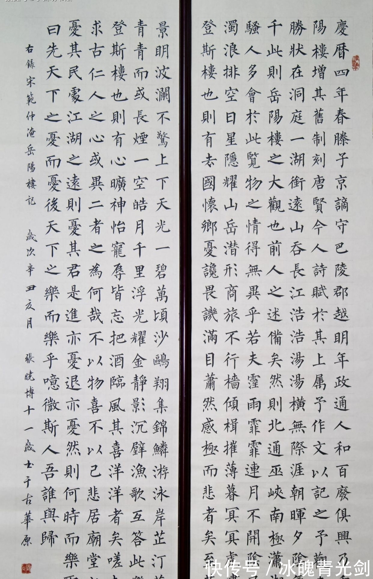
他是一位只有11岁的小学生,名叫张晓博,他5岁开始练习书法,每周练习2个小时,学习书法不足3个月,就能书熟练地书写柳楷、颜楷、隶书、行书了。他的书法作品曾多次获得全国书法比赛一等奖。
张晓博不仅毛笔写得好,而且硬笔书法写得一点也不逊色,他的硬笔书法作品曾多次被《书法报》刊登,其硬笔作品曾在铜川市中小学师生书画现场大赛学生组“一等奖等,一个小孩子,毛笔硬笔都能来,而且写得如此之好,真的不简单。

文章插图
【 小孩子&11岁的张晓博,书法笔力劲挺,结体秀美,有书家说:我自愧不如】一个11岁的小孩子,从5岁开始练习书法,充其量也只练习了5年多时间,就能写出如此好的书法作品来,他五体俱全,什么书体都能写,看了他的书法作品,使不少练习书法的人深感愧疚,有的书法家也感到自愧不如。在现实中,有的人练习了几十年的书法也达不到这个水平。张晓博真的不愧为是一个书法“小神童”,不得不服,不得不为他的书法叫好!
练习书法离不开勤奋,练习书法也需要有文字功夫,这是成就书法艺术的基本功夫,一个小孩子那来的这些功夫呢,不过神童就神童,张晓博有天赋,他启蒙早,他聪明好学也学得快,也赢在了”起步线上“。

文章插图
张晓博从小就很灵敏,也就是说是他聪明过人,他1 岁多时,父亲就给他买了识字卡片开始培养孩子的学习兴趣。在他2岁多时,张晓博就能认识了300多个汉字了,这在同年龄的幼儿中则是超群的。
张晓博不到3岁就进了幼儿园,他这个在时期,就能将1000多字的了《三字经》背得滚瓜烂熟了,同时,还能背诵了《增广贤文》、《弟子观》等的古文,可见,他的家长对张晓博的培养是下了功夫的,如此,他与同年龄的幼儿也就拉开了差距,这些都是他练习书法的基础。这也说明练习书法,需要文字功夫,需要积累,只是张晓博在这方面的积累比同年人要快一些,要聪明一些,他走在了前面。

文章插图
张晓博的书法作品无论是正楷,还是行书,隶书书写得都有板有眼,作品笔力劲挺,刚劲有力,结体秀美,赏心悦目。说实话,仅凭他作品的笔力就了不得。可以说,他学习书法深得其精髓,书法作品就要入木三分,就要力透纸背,在张晓博的作品中就有如此功效,这也是他的书法成功之处,令人敬佩之处。
看了张晓博的书法作品,不少人都会说,这那像是一个11岁小孩子书写的,完全可以与书法家比美。从他的身上,使不少人得到这样一个观念,要成就书法艺术,需要勤奋刻苦,但也需要有天赋,这个很重要。当然勤能补拙,不管怎么样,勤奋总比不勤奋要好。一个人要想成就书法艺术,天赋也是很理要,不然就需要苦练了。

文章插图
张晓博学习书法是有天赋的,一个人练习书法5年多就能写出如此好的书法作品来,自然他是信心满满,言语难表,一个人能有如此能力,能够写出如此之美的书法作品,即使是大人也要”卖弄“一下,何况他还是一个小孩子呢?人生就是如此,人生太顺了,很容易骄傲自满,人生也很容易摔跌,前车之鉴,每个人都要吸取。
- 杨晓通&“当代女马可·波罗”意大利文讲述侨乡浙江瑞安非遗
- 打击乐&戏曲、交响乐、打击乐、古琴 中山公园音乐堂10场演出欢度春节
- 园林&从王安石到陆游的诗句只过了一百年,扬州却成了宋金两重天
- 错换人生&谁家子弟谁家院,“错换人生”DNA再掀波澜
- 王之心&四本开局就惊艳读者的小说,一看书名就想入坑,书荒的你值得拥有
- 和尚&司马迁记载奇案:和尚巧遇命案无辜被冤,县令发现破绽智破命案
- 异途&庞大的反精英阶层让王朝由腐朽走向毁灭
- 船夫&新科状元乘船回家,船夫随口说出一上联,状元却至死都没对出来
- 玉真子&金庸《碧血剑》八大顶尖高手排名,何铁手第八!
- 冬奥&青年艺术家走进怀柔山村送春联写福字,冬奥元素融入乡村年味
